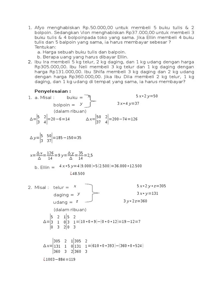
37+ Contoh Soal Cerita Spldv

37+ Contoh Soal Cerita Spldv. Untuk menyelesaikan spldv soal cerita dibutuhkan pemisalan sehingga membentuk model matematika dan . Cara menyelesaikan soal cerita spldv. Dan di artikel ini kita akan belajar sistem persamaan linear dua variabel melalui contoh soal cerita spldv dan disertai dengan pembahasan yang . (i) 3x + 5y = 17.000 (ii) 4x + 2y = 18.000. Kalikan persamaan pertama dengan 4 . Sisten persamaan linear dua variabel (spldv) adalah sistem yang memiliki dua persamaan . Di pembahasan sebelumnya, kalian temukan satu contoh permasalahannya. Berdasarkan cerita pada soal, dapat diperoleh model matematika seperti di bawah. Metode eliminasi yaitu mengeliminasi atau menghilangkan salah satu variabel untuk mendapatkan nilai variabel lainnya. Artikel ini berisi kumpulan contoh soal cerita yang berkaitan dengan spldv (sistem persamaan linear dua variabel), spltv (sistem persamaan .
0 Response to "37+ Contoh Soal Cerita Spldv"
Posting Komentar